The operation of electric motors is governed by various laws of electricity and magnetism, including Faraday’s law of induction, Ampère’s circuital law, Lenz’ law, and the Lorentz force. The first two – Faraday’s law and Ampère’s circuital law – are included in Maxwell’s equations. Together with Lenz’ law and the Lorentz force, these principles form the basis of electromagnetism.
Faraday’s law of induction
Faraday’s law of induction is the fundamental law on which electric motors operate. Michael Faraday is credited with discovering induction in 1831, but James Clerk Maxwell described it mathematically and used it as the foundation of his quantitative electromagnetic theory in the 1860s.
Inductance is a property of a device that tells how effectively it induces an emf in another device (or on itself).
Faraday’s law generally states that in a closed coil (loop) of wire, a change in the magnetic environment of the coil causes a voltage, or emf (electromotive force), to be induced in the coil.
The change in magnetic environment can be caused by changing the magnetic field strength, moving the magnet toward or away from the coil, moving the coil into or out of the magnetic field, or rotating the coil in the field.
The induced emf equals the negative rate of change of the magnetic flux, times the number of turns in the coil:
![]()
Where:
E = emf (V)
N = number of turns in the coil
Φ = magnetic flux (weber, Wb)
t = time (s)
Note that magnetic flux is equal to the average magnetic field, B, (tesla, or Wb/m2) multiplied by the perpendicular area of the coil that penetrates the magnetic field, A (m2).
Lenz’ law
Lenz’ law demonstrates the reason for the negative sign in Faraday’s law of induction. In other words, Lenz’ law explains why the emf generated according to Faraday’s law is negative.
A common way to state Lenz’ law is, “When emf is generated by a change in magnetic flux, the polarity of the induced emf is such that it generates a current whose magnetic field is in a direction that opposes the change that produced it (the original magnetic field).” That is, the induced magnetic field always works to keep the magnetic flux constant.

Image credit: C. R. Nave, Georgia State University
Lenz’ law is analogous to Newton’s third law in mechanics, which states that for every action, there is an equal and opposite reaction.
Lorentz force
There is disagreement over whether the Lorentz force was originally derived by James Clerk Maxwell or by Oliver Heaviside, but credit is typically given to Heaviside. Hendrik Lorentz derived the modern form of the equation in 1891.
The Lorentz force is the force that a particle experiences due to electric and magnetic fields. Electric fields exert a force on a particle whether it is moving or not, while magnetic fields exert a force only when the particle is in motion. The combination of forces from electric and magnetic fields is given as:
![]()
Which simplifies to:
![]()
Where:
F = force (N)
q = particle of charge (coulomb, C)
E = electric field (N/C)
v = velocity perpendicular to magnetic field (m/s)
B = magnetic field (tesla, T)
Since current is essentially a stream of moving, charged particles, it also experiences a force due to a magnetic field. In the case of a current in a magnetic field, the Lorentz force equation becomes:
![]()
Where:
I = current (A)
l = length of wire through the field (m)
The direction of the Lorentz force is derived using the right-hand rule: point your thumb in the direction of current, your first finger in the direciton of the magnetic field, and your second (middle) finger will point in the direction of the force.
Ampère’s circuital law
Despite its name, Ampère’s circuital law was derived not by André-Marie Ampère, but by James Clerk Maxwell in 1860, and is one of the Maxwell equations of electromagnetism. (Ampère formulated Ampère’s force law, which describes the attractive or repulsive force between two current-carrying wires.)
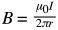
A magnetic field exerts a force on a straight wire that is carrying current. With Ampère’s circuital law, the strength of the magnetic field can be determined by:
![]()
Where:
B = magnetic field (T)
μ0 = magnetic permeability of air, T-m/A
I = current (A)
r = distance from the wire (m)

When the wire is a loop, the magnetic field causes a force in one direction on one side of the loop, and in the opposite direction on the other side of the loop. This creates a torque, which causes the coil to spin. Note that if direct current is applied, the coil will oscillate back and forth, but will not make complete revolutions – this is the reason DC motors use commutators. Motors that are operated with alternating current (AC motors) don’t exhibit this problem.
Feature image credit: TutorVista.com

Leave a Reply
You must be logged in to post a comment.